Официальное опубликование правовых актов
ОФИЦИАЛЬНОЕ ОПУБЛИКОВАНИЕ
Приказ Комитета культурного наследия Саратовской области от 27.04.2023 № 01-04/169
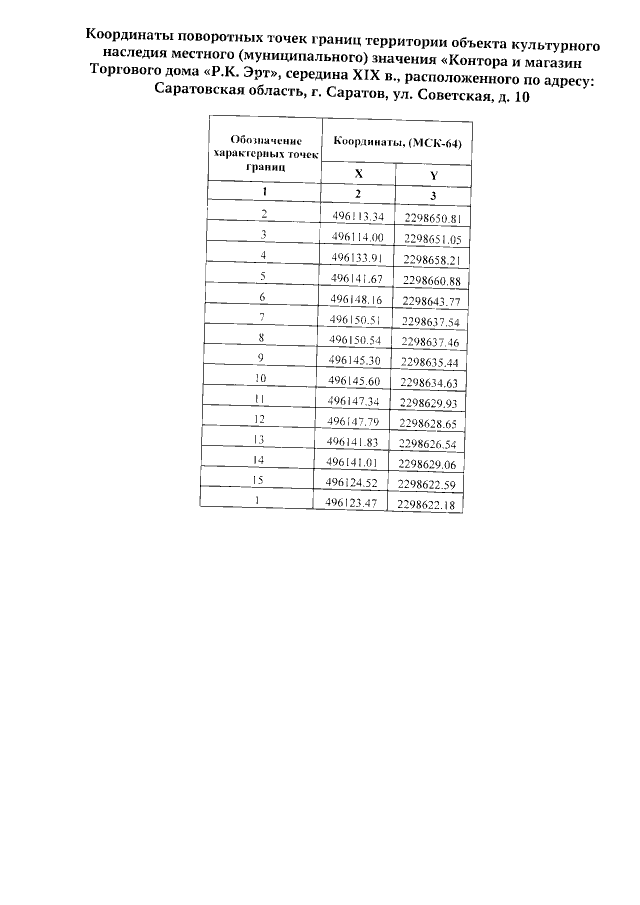
"О включении выявленного объекта культурного наследия по адресу: Саратовская область, г. Саратов, ул. Советская, д. 10 (литер А), в единый государственный реестр объектов культурного наследия (памятников истории и культуры) народов Российской Федерации в категории объекта культурного наследия местного (муниципального) значения, утверждении границ территории, требований к осуществлению деятельности в границах территории объекта культурного наследия и предмета охраны"
(Зарегистрирован 02.05.2023 № 25-2023-1-544)
Номер опубликования: 6401202305040015
Дата опубликования: 04.05.2023
Страница №4 из 10:
Увеличить