Официальное опубликование правовых актов
ОФИЦИАЛЬНОЕ ОПУБЛИКОВАНИЕ
Приказ Комитета культурного наследия Саратовской области от 25.02.2022 № 01-04/19
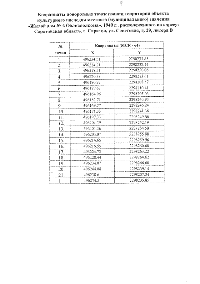
"О включении выявленного объекта культурного наследия по адресу: Саратовская область, г. Саратов, ул. Советская, 29, в единый государственный реестр объектов культурного наследия (памятников истории и культуры) народов Российской Федерации в категории объекта культурного наследия местного (муниципального) значения, утверждении границ территории, требований к осуществлению деятельности в границах территории объекта культурного наследия и предмета охраны"
Номер опубликования: 6401202203040004
Дата опубликования: 04.03.2022
Страница №4 из 19:
Увеличить