Официальное опубликование правовых актов
ОФИЦИАЛЬНОЕ ОПУБЛИКОВАНИЕ
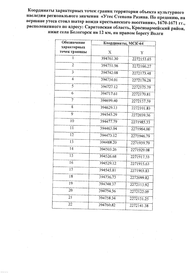
Приказ Управления по охране объектов культурного наследия Саратовской области от 10.01.2022 № 01-04/5
"Об утверждении границ территории, требований к осуществлению деятельности в границах территории объекта культурного наследия и предмета охраны объекта культурного наследия регионального значения, расположенного по адресу: Саратовская область, Красноармейский район, ниже села Белогорск на 12 км, на правом берегу Волги"
Номер опубликования: 6401202201130003
Дата опубликования: 13.01.2022
Страница №4 из 6:
Увеличить