Официальное опубликование правовых актов
ОФИЦИАЛЬНОЕ ОПУБЛИКОВАНИЕ
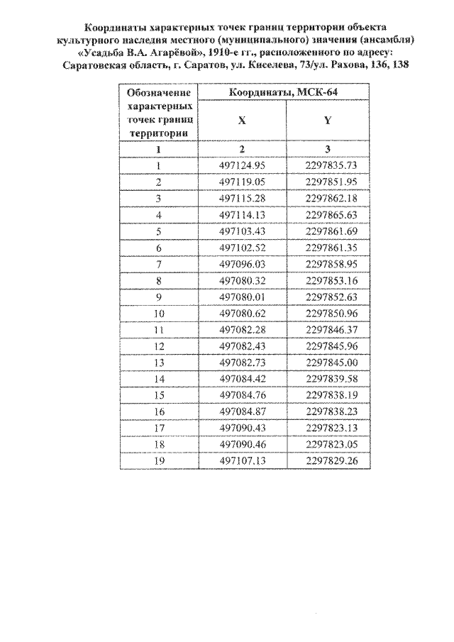
Приказ Управления по охране объектов культурного наследия Саратовской области от 09.12.2021 № 01-04/414
"О внесении изменений в приказ управления по охране объектов культурного наследия Правительства Саратовской области от 29.04.2016 № 77"
Номер опубликования: 6401202112160005
Дата опубликования: 16.12.2021
Страница №4 из 5:
Увеличить