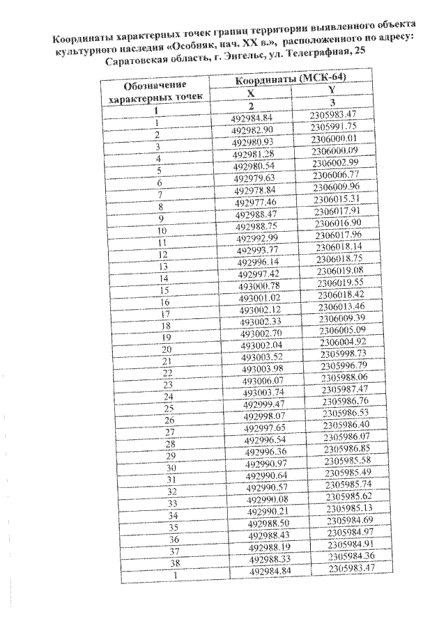
Приказ Управления по охране объектов культурного наследия Саратовской области от 26.07.2021 № 01-04/256
"Об утверждении границ территории и требований к осуществлению деятельности в границах территории выявленного объекта культурного наследия, расположенного по адресу: Саратовская область, г. Энгельс, ул. Телеграфная, 25"
"Об утверждении границ территории и требований к осуществлению деятельности в границах территории выявленного объекта культурного наследия, расположенного по адресу: Саратовская область, г. Энгельс, ул. Телеграфная, 25"
Номер опубликования: 6401202108020005
Дата опубликования:
02.08.2021
