Официальное опубликование правовых актов
ОФИЦИАЛЬНОЕ ОПУБЛИКОВАНИЕ
Приказ Управления по охране объектов культурного наследия Саратовской области от 26.07.2021 № 01-04/260
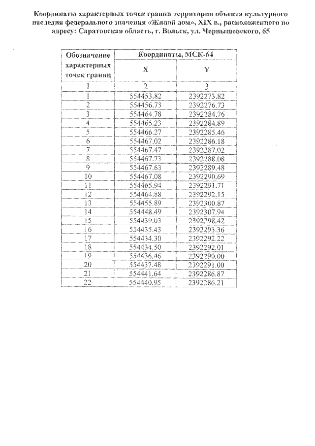
"Об утверждении границ территории и требований к осуществлению деятельности в границах территории объекта культурного наследия федерального значения, расположенного по адресу: Саратовская область, г. Вольск, ул. Чернышевского, 65"
Номер опубликования: 6401202108020001
Дата опубликования: 02.08.2021
Страница №4 из 5:
Увеличить