Официальное опубликование правовых актов
ОФИЦИАЛЬНОЕ ОПУБЛИКОВАНИЕ
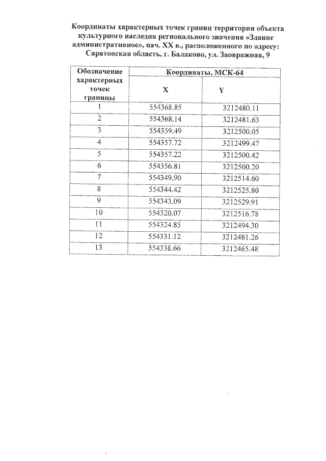
Приказ Управления по охране объектов культурного наследия Саратовской области от 19.04.2021 № 01-04/101
"Об утверждении границ территории и требований к осуществлению деятельности в границах территории объекта культурного наследия регионального значения, расположенного по адресу: Саратовская область, г. Балаково, ул. Заовражная, 9"
Номер опубликования: 6401202104230008
Дата опубликования: 23.04.2021
Страница №4 из 5:
Увеличить