Официальное опубликование правовых актов
ОФИЦИАЛЬНОЕ ОПУБЛИКОВАНИЕ
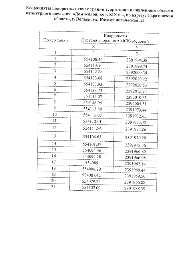
Приказ Управления по охране объектов культурного наследия Саратовской области от 15.07.2020 № 01-04/256
"Об утверждении границ территории и правовых режимов использования земельных участков в границах территории выявленного объекта культурного наследия, расположенного по адресу: Саратовская область, г. Вольск, ул. Коммунистическая, 21"
Номер опубликования: 6401202007200006
Дата опубликования: 20.07.2020
Страница №4 из 5:
Увеличить