Официальное опубликование правовых актов
ОФИЦИАЛЬНОЕ ОПУБЛИКОВАНИЕ
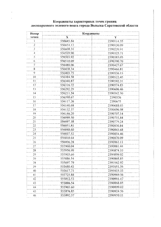
Приказ Министерства природных ресурсов и экологии Саратовской области от 11.06.2020 № 280
"Об установлении границ лесопаркового зеленого пояса города Вольска Саратовской области"
Номер опубликования: 6401202006180003
Дата опубликования: 18.06.2020
Страница №3 из 4:
Увеличить