Официальное опубликование правовых актов
ОФИЦИАЛЬНОЕ ОПУБЛИКОВАНИЕ
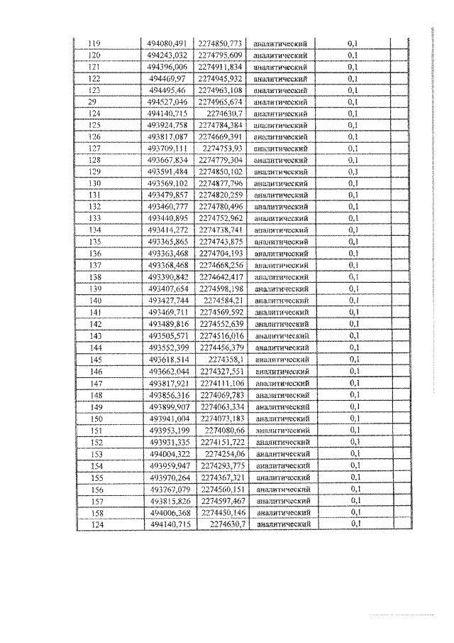
Приказ Министерства природных ресурсов и экологии Саратовской области от 04.06.2020 № 270
"О внесении изменений в приказ министерства природных ресурсов и экологии Саратовской области от 16 апреля 2020 года № 193"
Номер опубликования: 6401202006110017
Дата опубликования: 11.06.2020
Страница №14 из 14:
Увеличить