Официальное опубликование правовых актов
ОФИЦИАЛЬНОЕ ОПУБЛИКОВАНИЕ
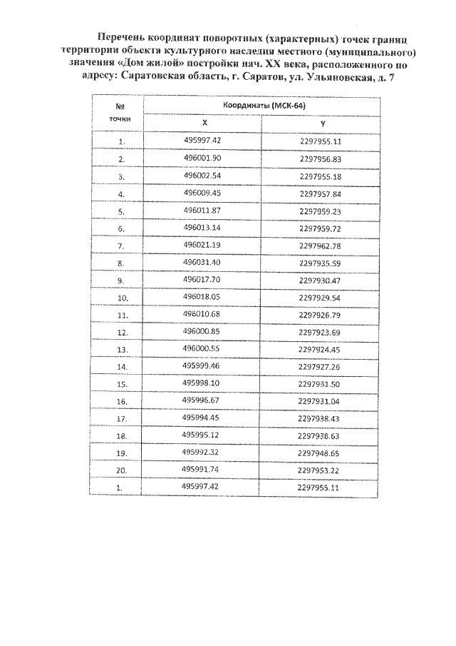
Приказ Управления по охране объектов культурного наследия Саратовской области от 25.03.2020 № 01-04/136
"О включении выявленного объекта культурного наследия по адресу: Саратовская область, г. Саратов, ул. Ульяновская, 7, в единый государственный реестр объектов культурного наследия (памятников истории и культуры) народов Российской Федерации в категории объекта культурного наследия местного (муниципального) значения, утверждении границ территории и предмета охраны"
Номер опубликования: 6401202004020002
Дата опубликования: 02.04.2020
Страница №4 из 7:
Увеличить