Официальное опубликование правовых актов
ОФИЦИАЛЬНОЕ ОПУБЛИКОВАНИЕ
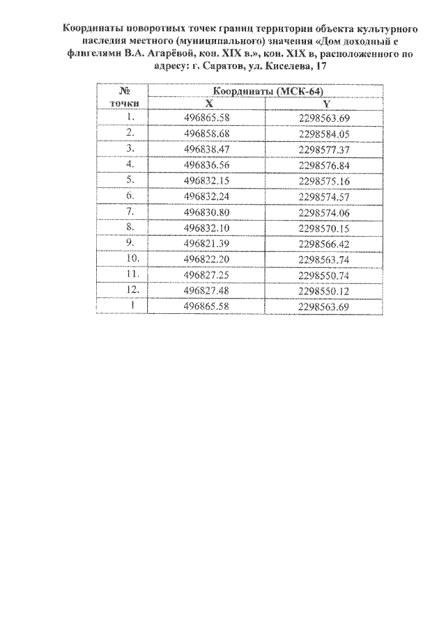
Приказ Управления по охране объектов культурного наследия Саратовской области от 11.03.2020 № 01-04/105
"Об утверждении границ территории объекта культурного наследия местного (муниципального) значения, расположенного по адресу: г. Саратов, ул. Киселева, 17"
Номер опубликования: 6401202003190004
Дата опубликования: 19.03.2020
Страница №4 из 4:
Увеличить