Официальное опубликование правовых актов
ОФИЦИАЛЬНОЕ ОПУБЛИКОВАНИЕ
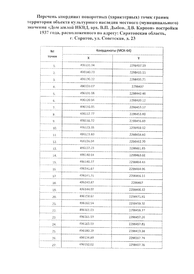
Приказ Управления по охране объектов культурного наследия Саратовской области от 27.02.2020 № 01-04/65
"О включении выявленного объекта культурного наследия по адресу: Саратовская область, г. Саратов, ул. Советская, 23, в единый государственный реестр объектов культурного наследия (памятников истории и культуры) народов Российской Федерации в категории объекта культурного наследия местного (муниципального) значения, утверждении границ территории и предмета охраны"
Номер опубликования: 6401202003050005
Дата опубликования: 05.03.2020
Страница №4 из 9:
Увеличить