Приказ Управления по охране объектов культурного наследия Саратовской области от 27.01.2020 № 01-04/26
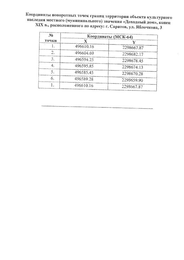
"Об утверждении границ территории объекта культурного наследия местного (муниципального) значения, расположенного по адресу: г. Саратов, ул. Яблочкова, 3"
"Об утверждении границ территории объекта культурного наследия местного (муниципального) значения, расположенного по адресу: г. Саратов, ул. Яблочкова, 3"
Номер опубликования: 6401202001310001
Дата опубликования:
31.01.2020
