Приказ Управления по охране объектов культурного наследия Саратовской области от 19.09.2019 № 01-04/92
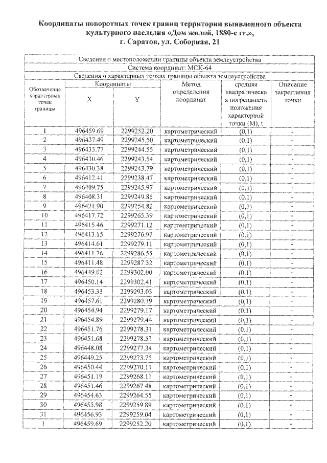
"Об утверждении границ территории выявленного объекта культурного наследия, расположенного по адресу: г. Саратов, ул. Соборная, 21"
"Об утверждении границ территории выявленного объекта культурного наследия, расположенного по адресу: г. Саратов, ул. Соборная, 21"
Номер опубликования: 6401201909260004
Дата опубликования:
26.09.2019
