Приказ Управления по охране объектов культурного наследия Саратовской области от 19.09.2019 № 01-04/94
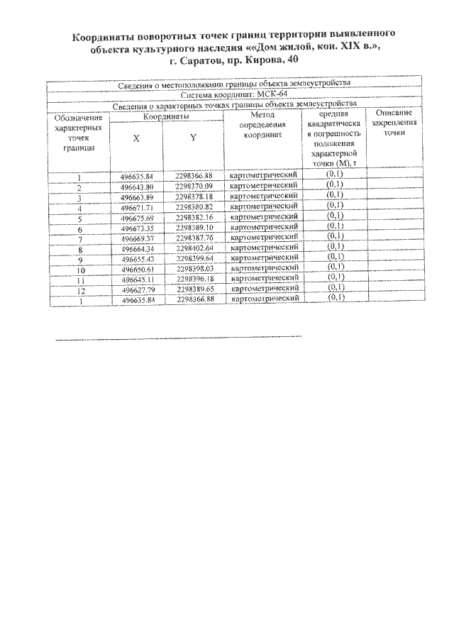
"Об утверждении границ территории выявленного объекта культурного наследия, расположенного по адресу: г. Саратов, пр. Кирова, 40"
"Об утверждении границ территории выявленного объекта культурного наследия, расположенного по адресу: г. Саратов, пр. Кирова, 40"
Номер опубликования: 6401201909260003
Дата опубликования:
26.09.2019
