Официальное опубликование правовых актов
ОФИЦИАЛЬНОЕ ОПУБЛИКОВАНИЕ
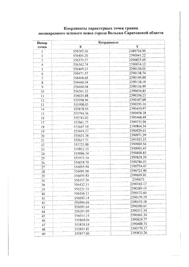
Приказ Министерства природных ресурсов и экологии Саратовской области от 22.04.2019 № 306
"Об установлении границ лесопаркового зеленого пояса города Вольска Саратовской области"
Номер опубликования: 6401201904290005
Дата опубликования: 29.04.2019
Страница №3 из 4:
Увеличить