Официальное опубликование правовых актов
ОФИЦИАЛЬНОЕ ОПУБЛИКОВАНИЕ
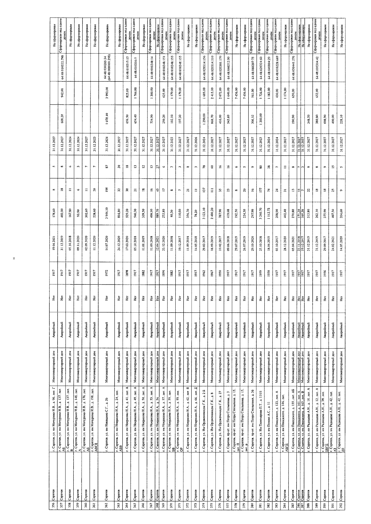
Постановление Правительства Саратовской области от 16.02.2026 № 89-П
"О внесении изменений в постановление Правительства Саратовской области от 26 сентября 2022 года № 931-П"
Номер опубликования: 6400202602190002
Дата опубликования: 19.02.2026
Страница №14 из 32:
Увеличить