Официальное опубликование правовых актов
ОФИЦИАЛЬНОЕ ОПУБЛИКОВАНИЕ
Постановление Правительства Саратовской области от 12.02.2026 № 85-П
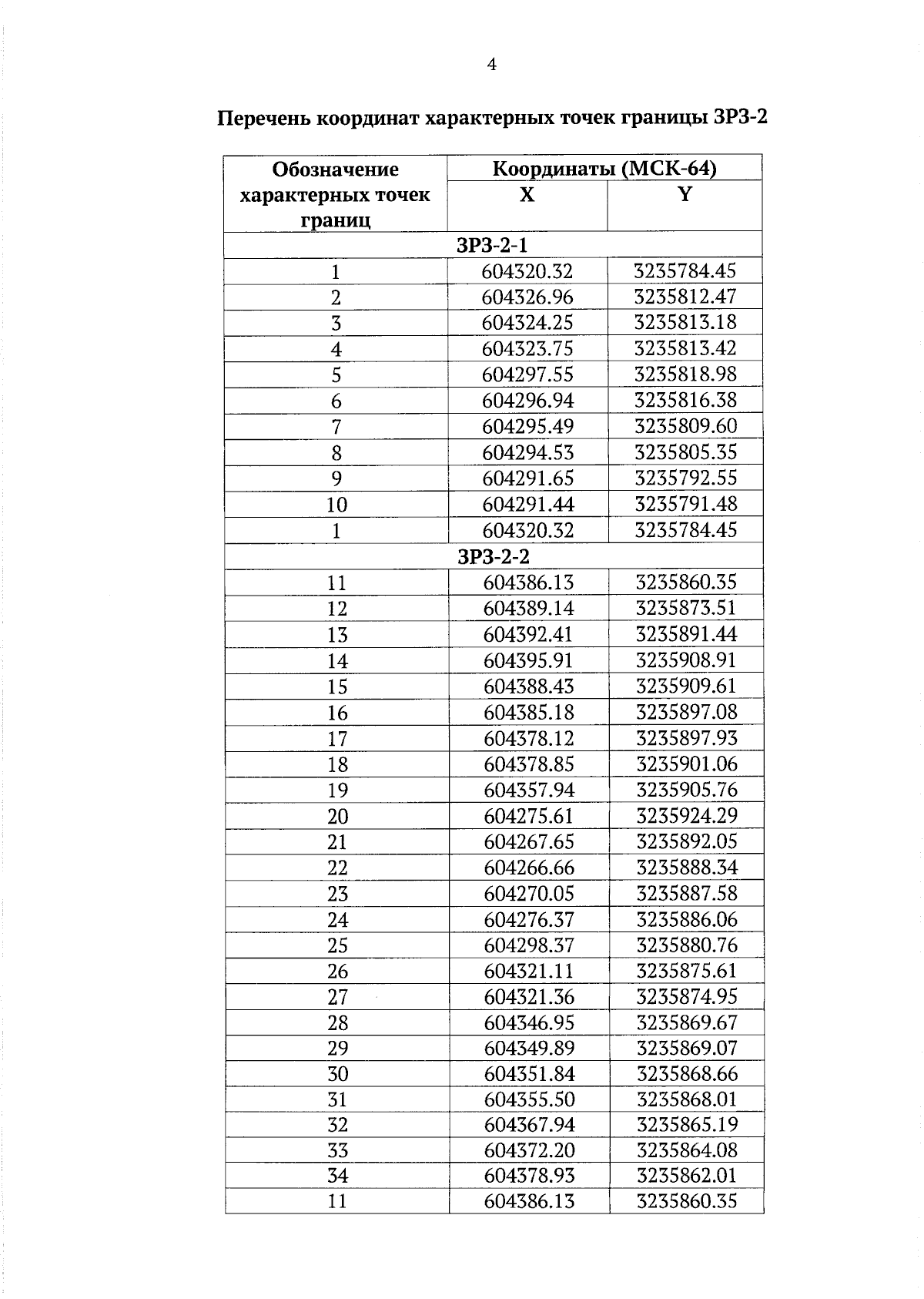
"Об утверждении зон охраны объекта культурного наследия местного (муниципального) значения "Дом купца Солдаткина", 2-я пол. XIX в., расположенного по адресу: Саратовская область, г. Хвалынск, ул. Российской Республики, д. 73"
Номер опубликования: 6400202602170003
Дата опубликования: 17.02.2026
Страница №10 из 14:
Увеличить