Официальное опубликование правовых актов
ОФИЦИАЛЬНОЕ ОПУБЛИКОВАНИЕ
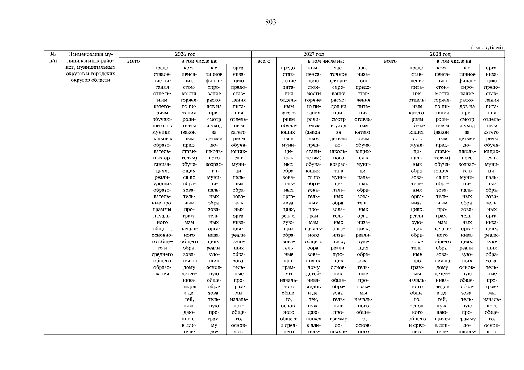
Закон Саратовской области от 26.12.2025 № 109-ЗСО
"О внесении изменений в Закон Саратовской области "Об областном бюджете на 2026 год и на плановый период 2027 и 2028 годов"
Номер опубликования: 6400202512300047
Дата опубликования: 30.12.2025
Страница №803 из 831:
Увеличить