Официальное опубликование правовых актов
ОФИЦИАЛЬНОЕ ОПУБЛИКОВАНИЕ
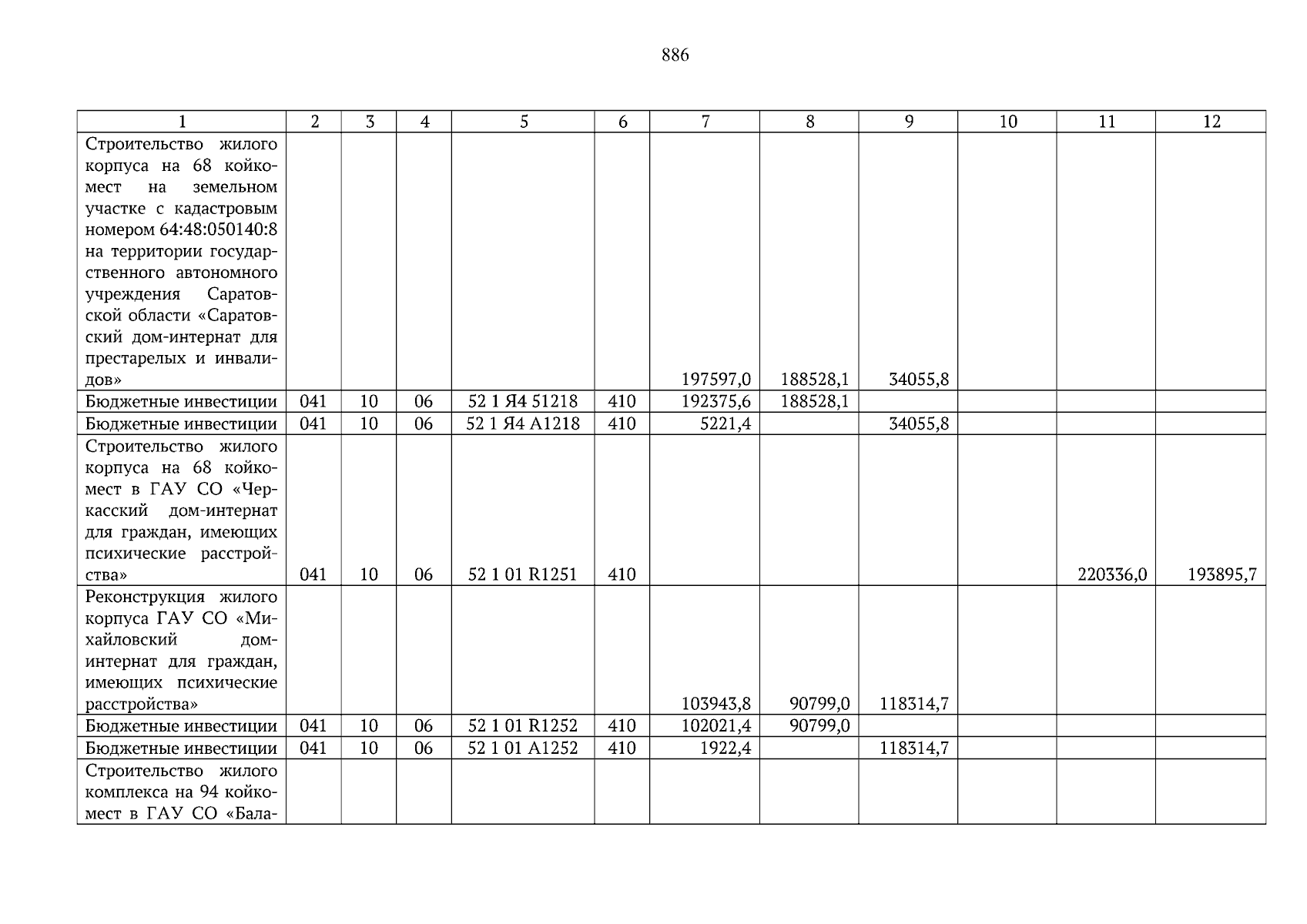
Закон Саратовской области от 18.12.2025 № 99-ЗСО
"О внесении изменений в Закон Саратовской области "Об областном бюджете на 2025 год и на плановый период 2026 и 2027 годов"
Номер опубликования: 6400202512260004
Дата опубликования: 26.12.2025
Страница №886 из 988:
Увеличить