Официальное опубликование правовых актов
ОФИЦИАЛЬНОЕ ОПУБЛИКОВАНИЕ
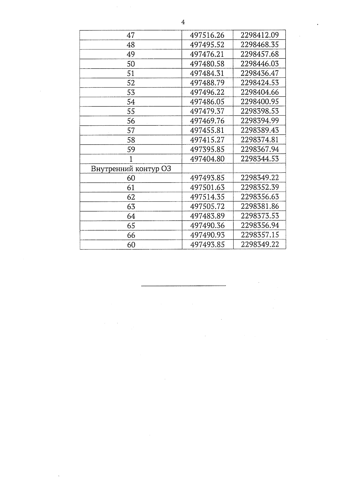
Постановление Правительства Саратовской области от 18.11.2025 № 862-П
"Об утверждении зон охраны объекта культурного наследия местного (муниципального) значения "Дом жилой", начало ХХ в., расположенного по адресу: Саратовская область, г. Саратов, ул. им. Зарубина В.С., д. 97, лит. А"
Номер опубликования: 6400202511210001
Дата опубликования: 21.11.2025
Страница №6 из 17:
Увеличить