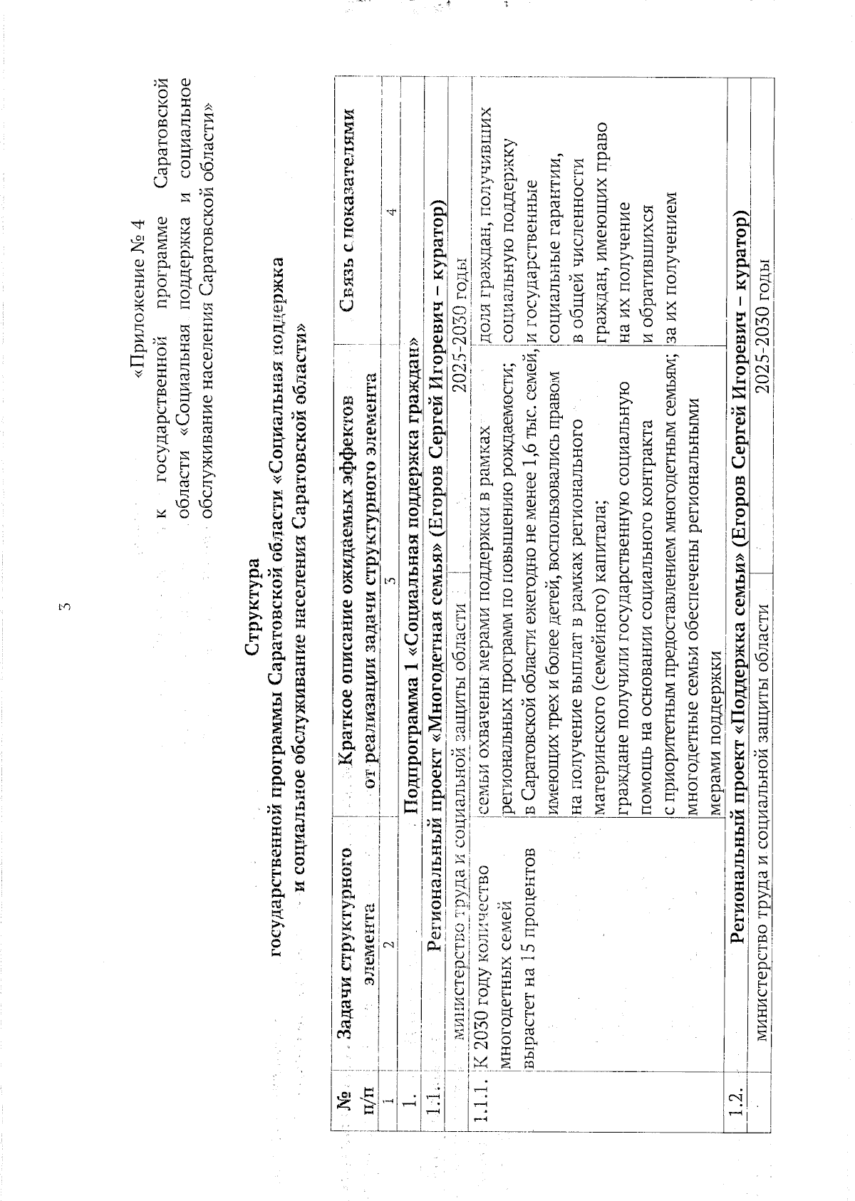
Постановление Правительства Саратовской области от 24.10.2025 № 797-П
"О внесении изменений в государственную программу Саратовской области "Социальная поддержка и социальное обслуживание населения Саратовской области"
"О внесении изменений в государственную программу Саратовской области "Социальная поддержка и социальное обслуживание населения Саратовской области"
Номер опубликования: 6400202510280003
Дата опубликования:
28.10.2025
