Официальное опубликование правовых актов
ОФИЦИАЛЬНОЕ ОПУБЛИКОВАНИЕ
Постановление Правительства Саратовской области от 20.01.2025 № 27-П
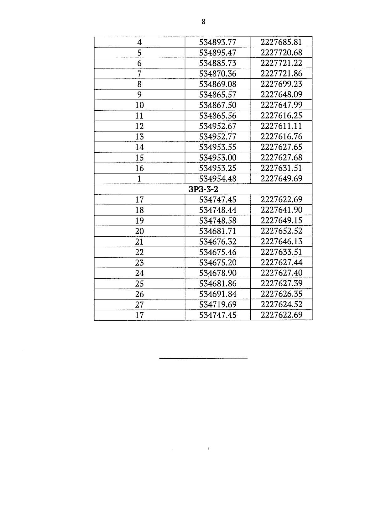
"Об утверждении зон охраны объекта культурного наследия регионального значения "Дом городского головы Павлюкова", рубеж XIX-ХХ вв., расположенного по адресу: Саратовская область, г. Аткарск, ул. Советская, 91"
Номер опубликования: 6400202501220007
Дата опубликования: 22.01.2025
Страница №18 из 25:
Увеличить