Официальное опубликование правовых актов
ОФИЦИАЛЬНОЕ ОПУБЛИКОВАНИЕ
Постановление Правительства Саратовской области от 17.01.2024 № 19-П
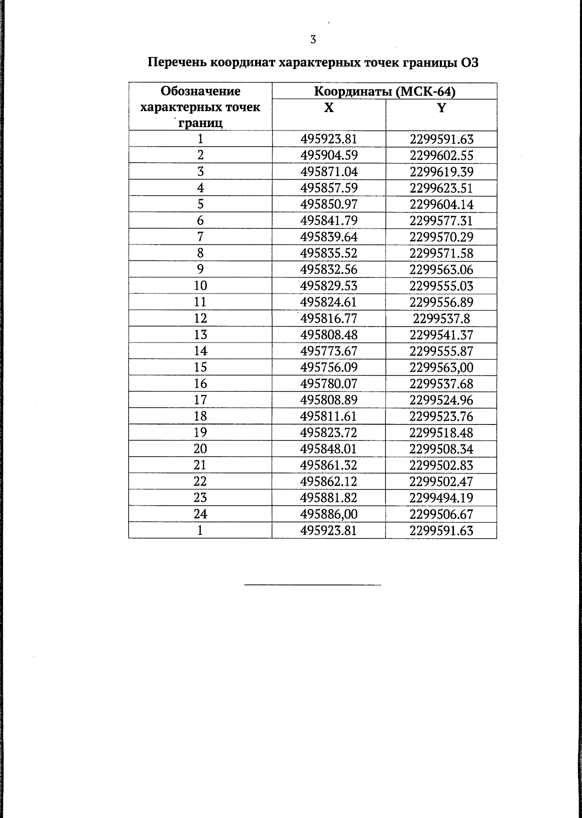
"Об утверждении зон охраны объекта культурного наследия регионального значения "Дом Григорьева П.В. с палисадом и оградой", середина XIX в., расположенного по адресу: Саратовская область, г. Саратов, ул. им. Чернышевского Н.Г., д. 144"
Номер опубликования: 6400202401230008
Дата опубликования: 23.01.2024
Страница №5 из 14:
Увеличить