Официальное опубликование правовых актов
ОФИЦИАЛЬНОЕ ОПУБЛИКОВАНИЕ
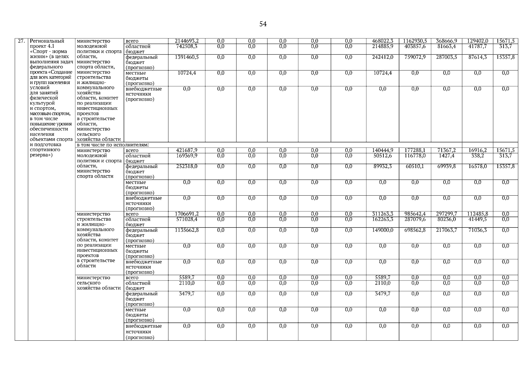
Постановление Правительства Саратовской области от 29.12.2023 № 1271-П
"О внесении изменений в государственную программу Саратовской области "Развитие физической культуры, спорта, туризма и молодежной политики"
Номер опубликования: 6400202401040006
Дата опубликования: 04.01.2024
Страница №55 из 175:
Увеличить