Официальное опубликование правовых актов
ОФИЦИАЛЬНОЕ ОПУБЛИКОВАНИЕ
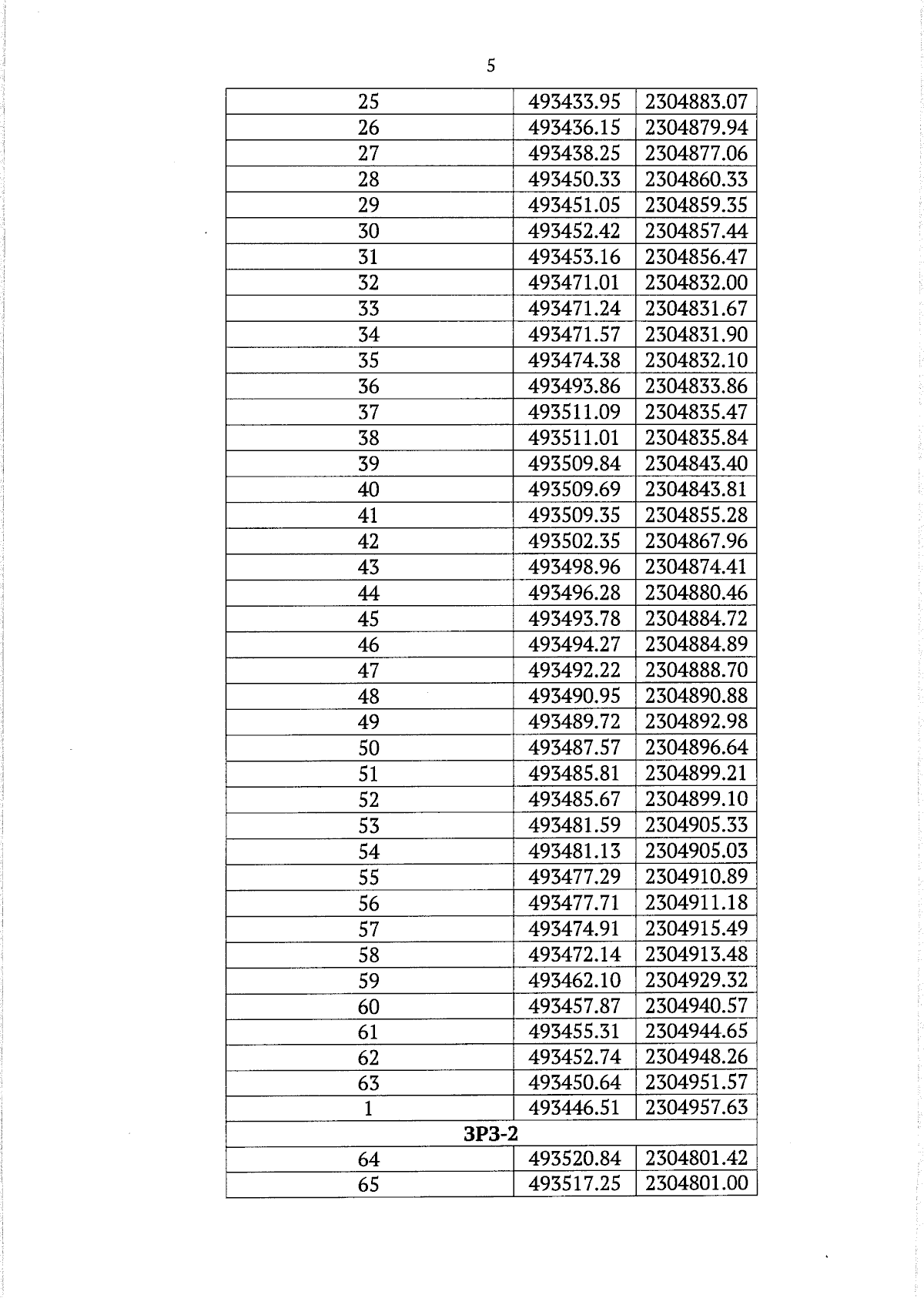
Постановление Правительства Саратовской области от 03.11.2023 № 1019-П
"Об утверждении зон охраны объекта культурного наследия регионального значения "Дом Энгельсского Горкомхоза, архитекторы А. Любомудров, Щукарев", 1939 год, расположенного по адресу: Саратовская область, г. Энгельс, ул. Калинина, 3"
Номер опубликования: 6400202311080007
Дата опубликования: 08.11.2023
Страница №14 из 19:
Увеличить