Официальное опубликование правовых актов
ОФИЦИАЛЬНОЕ ОПУБЛИКОВАНИЕ
Постановление Правительства Саратовской области от 27.10.2023 № 986-П
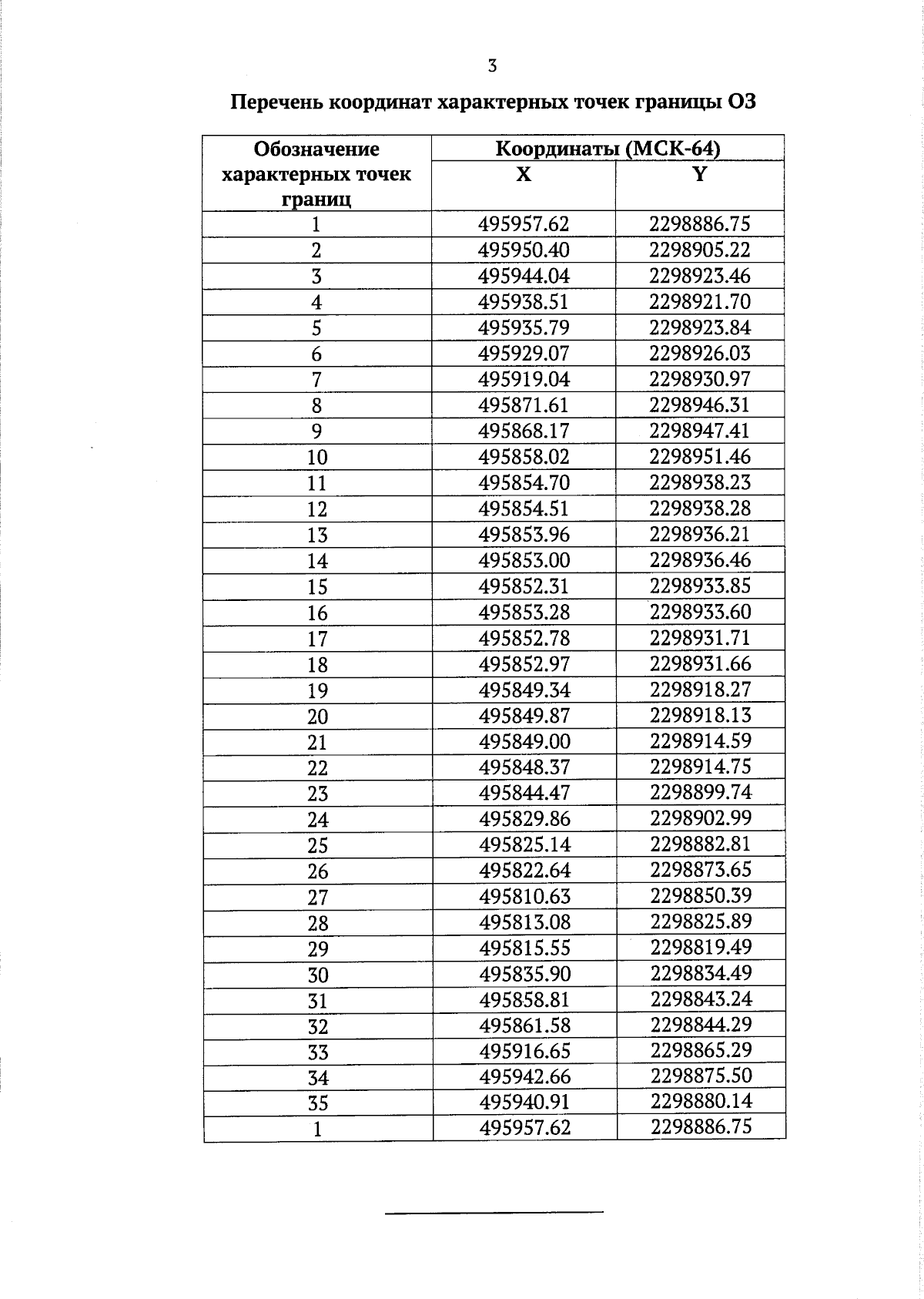
"Об утверждении зон охраны объекта культурного наследия регионального значения "Дом П.П. Шмидта", начало ХХ в., расположенного по адресу: Саратовская область, г. Саратов, ул. Радищева, 14 (ул. Мичурина, 97)"
Номер опубликования: 6400202311020001
Дата опубликования: 02.11.2023
Страница №4 из 7:
Увеличить