Официальное опубликование правовых актов
ОФИЦИАЛЬНОЕ ОПУБЛИКОВАНИЕ
Постановление Правительства Саратовской области от 08.06.2023 № 517-П
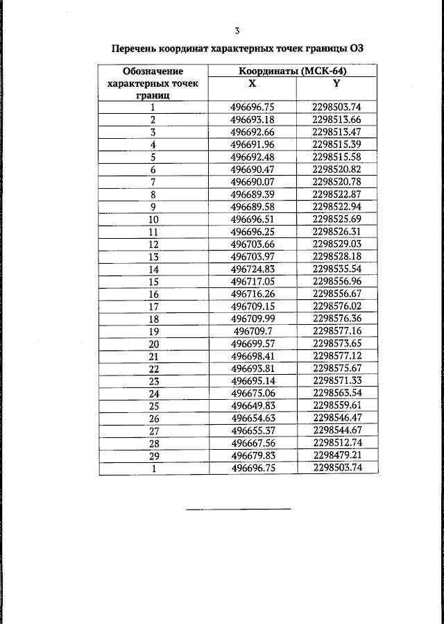
"Об утверждении зон охраны объекта культурного наследия регионального значения "Особняк", нач. ХХ в., расположенного по адресу: Саратовская область, г. Саратов, ул. Яблочкова, 16"
Номер опубликования: 6400202306130003
Дата опубликования: 13.06.2023
Страница №5 из 12:
Увеличить