Официальное опубликование правовых актов
ОФИЦИАЛЬНОЕ ОПУБЛИКОВАНИЕ
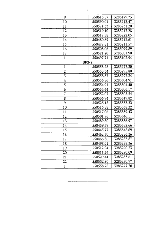
Постановление Правительства Саратовской области от 15.03.2023 № 199-П
"Об утверждении зон охраны объекта культурного наследия регионального значения "Мельница купца С.Н. Чемодурова", 1913 г., расположенного по адресу: Саратовская область, г. Пугачев, ул. Коммунистическая, д. 89"
Номер опубликования: 6400202303210020
Дата опубликования: 21.03.2023
Страница №9 из 17:
Увеличить