Официальное опубликование правовых актов
ОФИЦИАЛЬНОЕ ОПУБЛИКОВАНИЕ
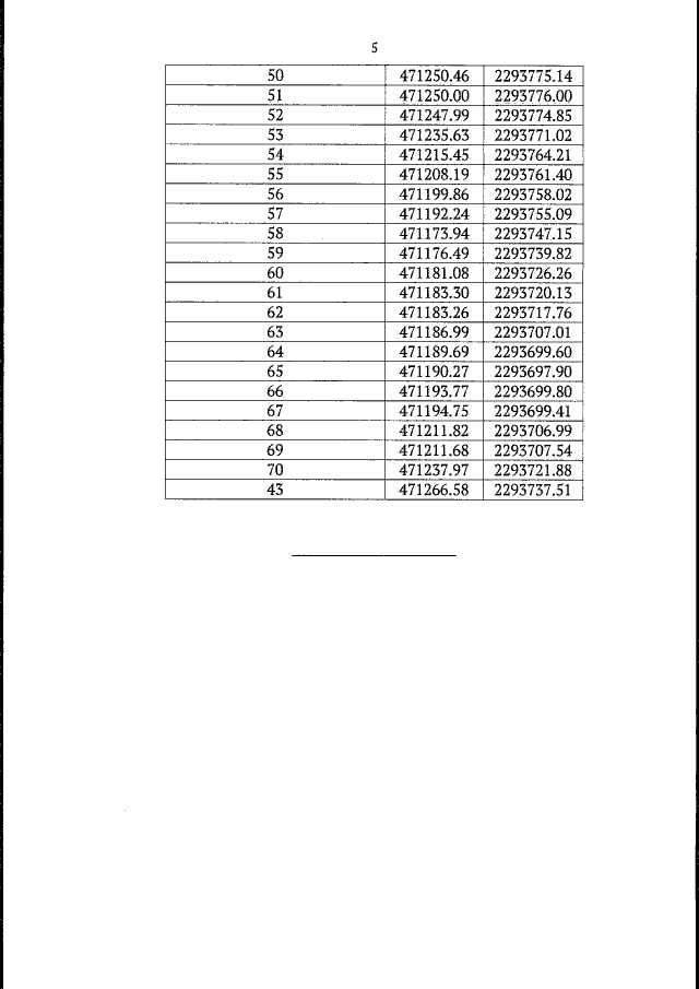
Постановление Правительства Саратовской области от 13.12.2022 № 1235-П
"Об утверждении зон охраны объекта культурного наследия регионального значения "Земская школа", 1903-1904 гг., расположенного по адресу: Саратовская область, Энгельсский район, с. Терновка, ул. Центральная, 43"
Номер опубликования: 6400202212200035
Дата опубликования: 20.12.2022
Страница №12 из 18:
Увеличить