Официальное опубликование правовых актов
ОФИЦИАЛЬНОЕ ОПУБЛИКОВАНИЕ
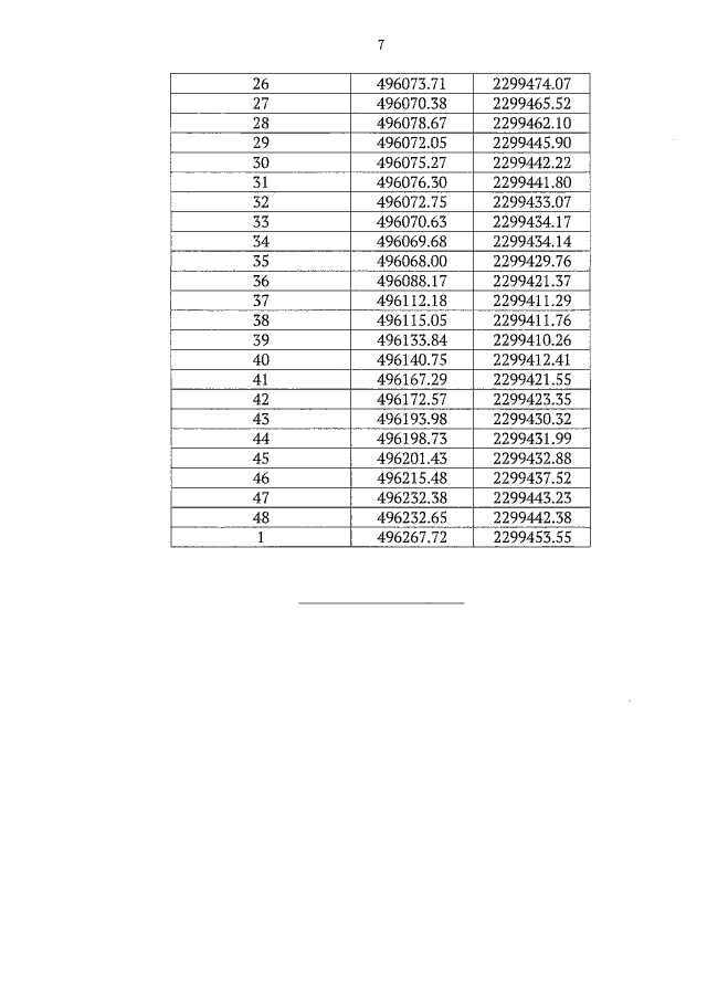
Постановление Правительства Саратовской области от 15.12.2022 № 1243-П
"Об утверждении зон охраны объекта культурного наследия регионального значения "Жилые дома инженерно-технических работников", 1930-е гг., расположенного по адресу: Саратовская область, г. Саратов, ул. Волжская, д. 21 / ул. им. Некрасова Н.А., д. 19"
Номер опубликования: 6400202212200014
Дата опубликования: 20.12.2022
Страница №16 из 21:
Увеличить