Официальное опубликование правовых актов
ОФИЦИАЛЬНОЕ ОПУБЛИКОВАНИЕ
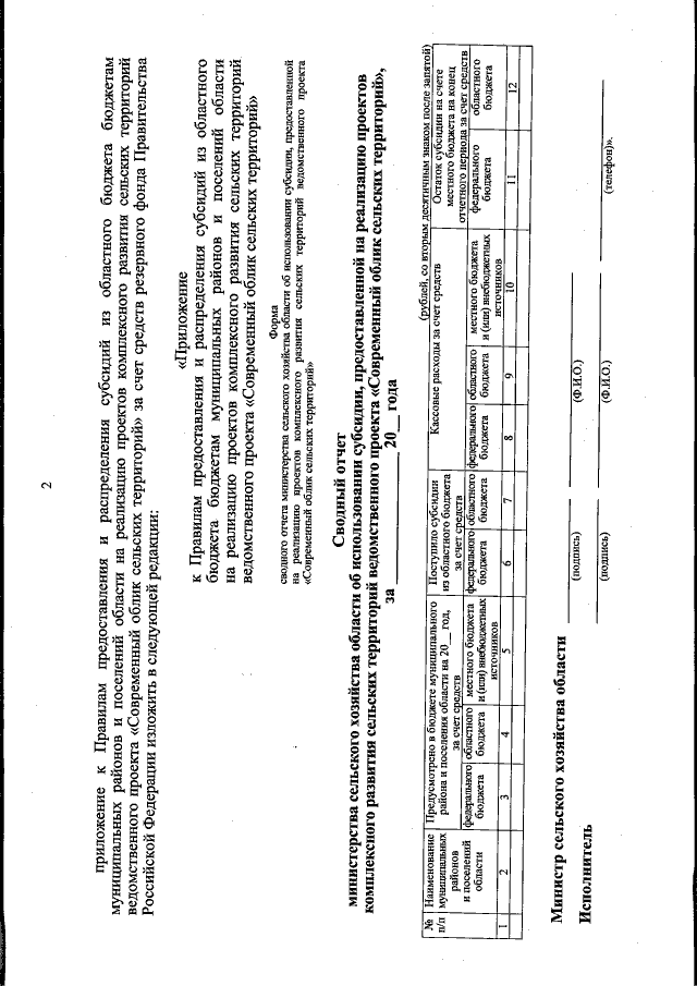
Постановление Правительства Саратовской области от 20.10.2021 № 890-П
"О внесении изменений в государственную программу Саратовской области "Комплексное развитие сельских территорий" и постановление Правительства Саратовской области от 7 сентября 2021 года № 744-П"
Номер опубликования: 6400202110260004
Дата опубликования: 26.10.2021
Страница №3 из 4:
Увеличить