Официальное опубликование правовых актов
ОФИЦИАЛЬНОЕ ОПУБЛИКОВАНИЕ
Постановление Правительства Саратовской области от 27.09.2021 № 805-П
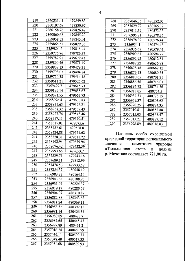
"О создании особо охраняемой природной территории регионального значения – памятника природы "Тюльпанная степь в долине р. Мечетка"
Номер опубликования: 6400202110010006
Дата опубликования: 01.10.2021
Страница №5 из 6:
Увеличить