Официальное опубликование правовых актов
ОФИЦИАЛЬНОЕ ОПУБЛИКОВАНИЕ
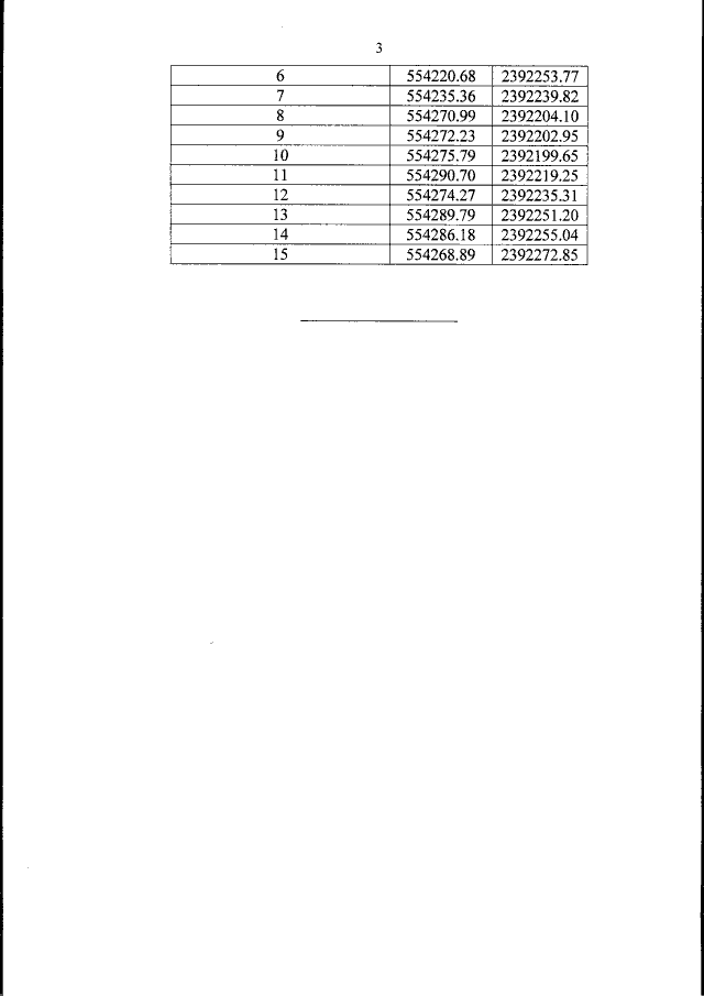
Постановление Правительства Саратовской области от 20.07.2021 № 570-П
"Об утверждении зон охраны объекта культурного наследия регионального значения "Особняк", нач. XIX в., расположенного по адресу: Саратовская область, г. Вольск, ул. Революционная, 22"
Номер опубликования: 6400202107230001
Дата опубликования: 23.07.2021
Страница №4 из 6:
Увеличить