Официальное опубликование правовых актов
ОФИЦИАЛЬНОЕ ОПУБЛИКОВАНИЕ
Постановление Правительства Саратовской области от 27.08.2020 № 732-П
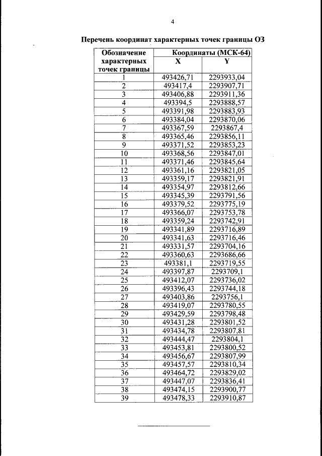
"Об утверждении зон охраны объекта культурного наследия местного (муниципального) значения "Дом жилой, 1958 г.", 1958 г., расположенного по адресу: Саратовская область, г. Саратов, ул. Орджоникидзе, 16"
Номер опубликования: 6400202009020009
Дата опубликования: 02.09.2020
Страница №6 из 15:
Увеличить