Официальное опубликование правовых актов
ОФИЦИАЛЬНОЕ ОПУБЛИКОВАНИЕ
Постановление Правительства Саратовской области от 16.06.2020 № 512-П
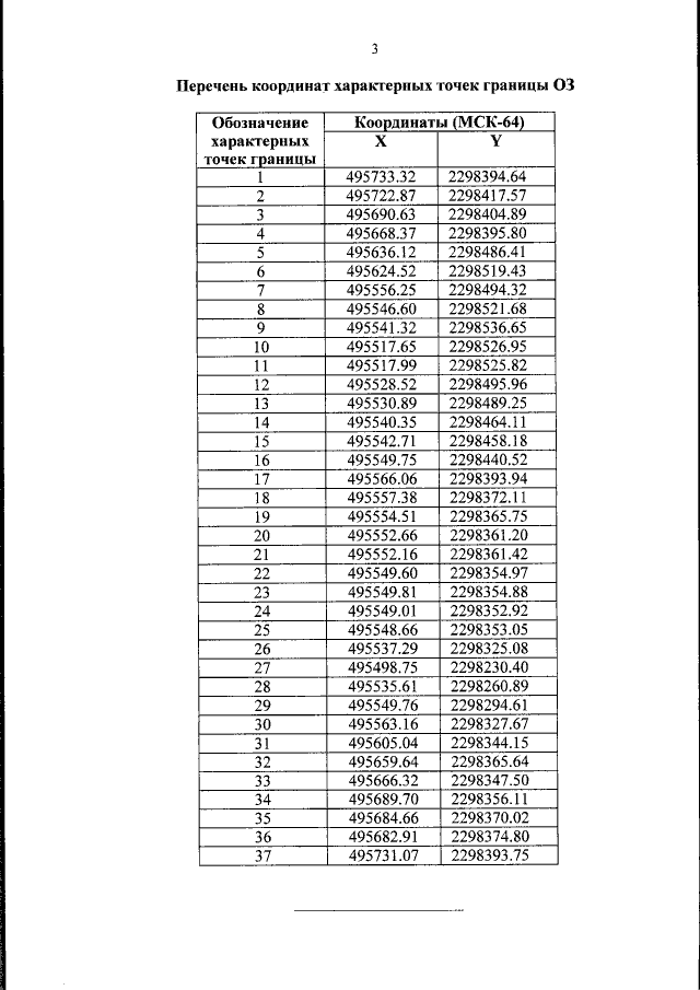
"Об утверждении зон охраны объекта культурного наследия регионального значения "Комплекс мучных складов Торгового Дома "Кондратий Рейнеке и сыновья", начало 1880-х – конец 1890-х гг., расположенного по адресу: Саратовская область, г. Саратов, ул. им. Горького А.М., д. 2 (строения под литерами "А", "Б", "В", "Г", "Д", "С" (в/г № 14) и "С", "К" (в/г № 15)"
Номер опубликования: 6400202006180014
Дата опубликования: 18.06.2020
Страница №5 из 17:
Увеличить