Официальное опубликование правовых актов
ОФИЦИАЛЬНОЕ ОПУБЛИКОВАНИЕ
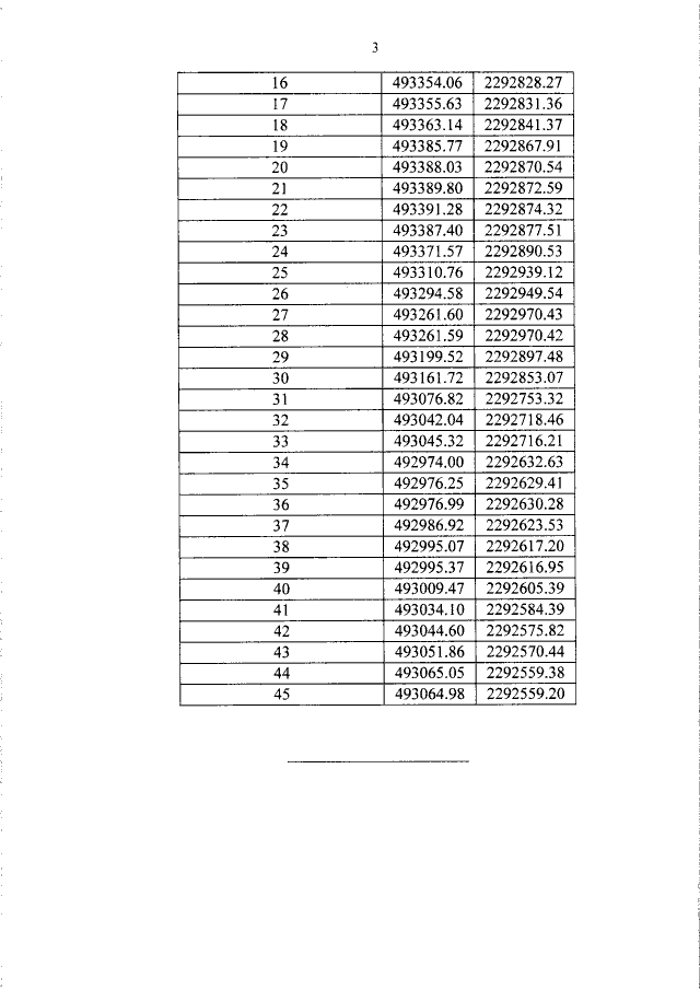
Постановление Правительства Саратовской области от 07.05.2020 № 363-П
"Об утверждении зон охраны объекта культурного наследия местного (муниципального) значения "Поликлиника МСЧ авиазавода", 1956 г., расположенного по адресу: Саратовская область, г. Саратов, ул. Авиастроителей, 3"
Номер опубликования: 6400202005120004
Дата опубликования: 12.05.2020
Страница №11 из 18:
Увеличить