Официальное опубликование правовых актов
ОФИЦИАЛЬНОЕ ОПУБЛИКОВАНИЕ
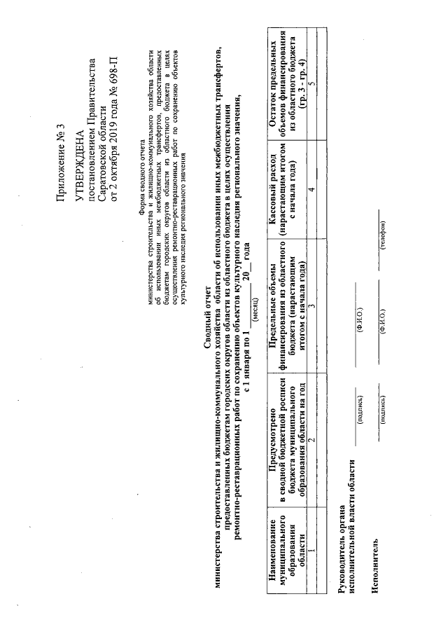
Постановление Правительства Саратовской области от 02.10.2019 № 698-П
"О порядке предоставления из областного бюджета бюджетам городских округов области иных межбюджетных трансфертов в целях осуществления ремонтно-реставрационных работ по сохранению объектов культурного наследия регионального значения"
Номер опубликования: 6400201910090007
Дата опубликования: 09.10.2019
Страница №6 из 6:
Увеличить