Официальное опубликование правовых актов
ОФИЦИАЛЬНОЕ ОПУБЛИКОВАНИЕ
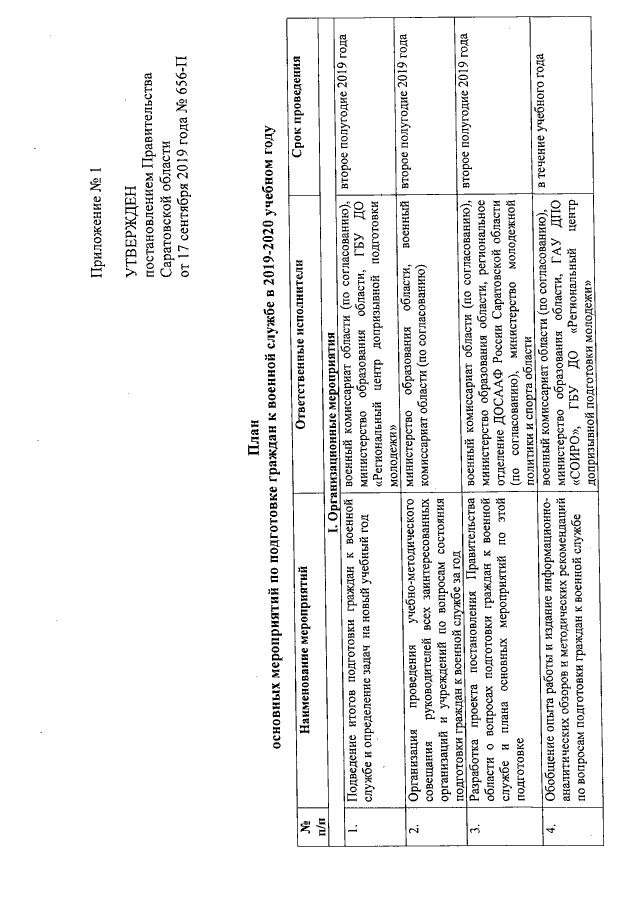
Постановление Правительства Саратовской области от 17.09.2019 № 656-П
"О подготовке граждан к военной службе в 2019-2020 учебном году"
Номер опубликования: 6400201909190001
Дата опубликования: 19.09.2019
Страница №2 из 8:
Увеличить