Официальное опубликование правовых актов
ОФИЦИАЛЬНОЕ ОПУБЛИКОВАНИЕ
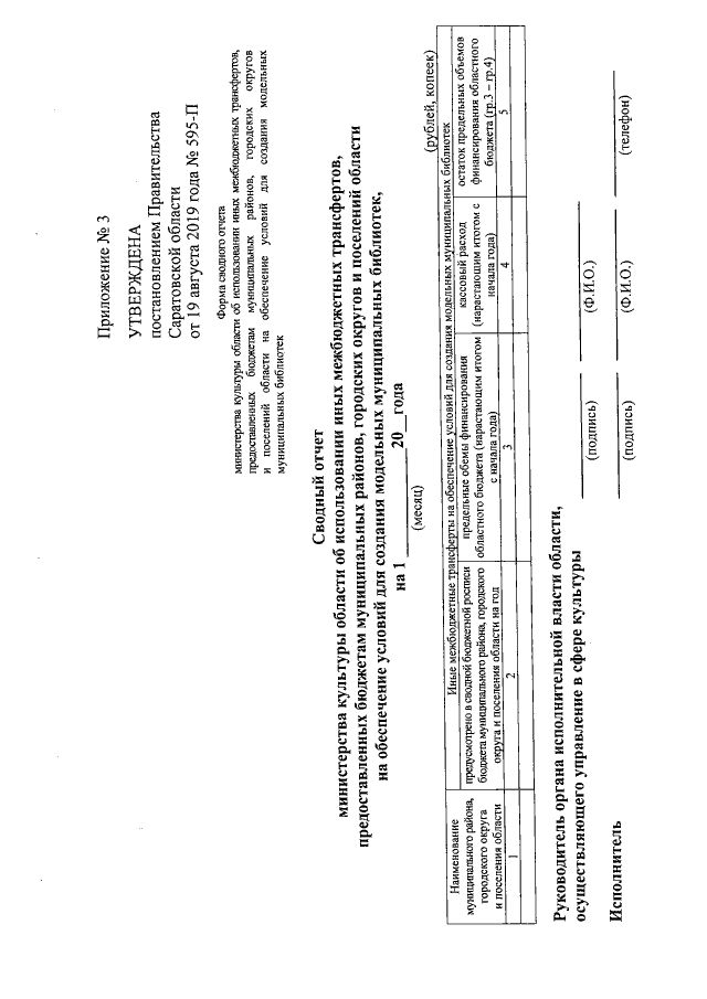
Постановление Правительства Саратовской области от 19.08.2019 № 595-П
"О порядке предоставления из областного бюджета бюджетам муниципальных районов, городских округов и поселений области иных межбюджетных трансфертов на обеспечение условий для создания модельных муниципальных библиотек"
Номер опубликования: 6400201908220001
Дата опубликования: 22.08.2019
Страница №7 из 7:
Увеличить