Официальное опубликование правовых актов
ОФИЦИАЛЬНОЕ ОПУБЛИКОВАНИЕ
Постановление Правительства Саратовской области от 05.08.2019 № 555-П
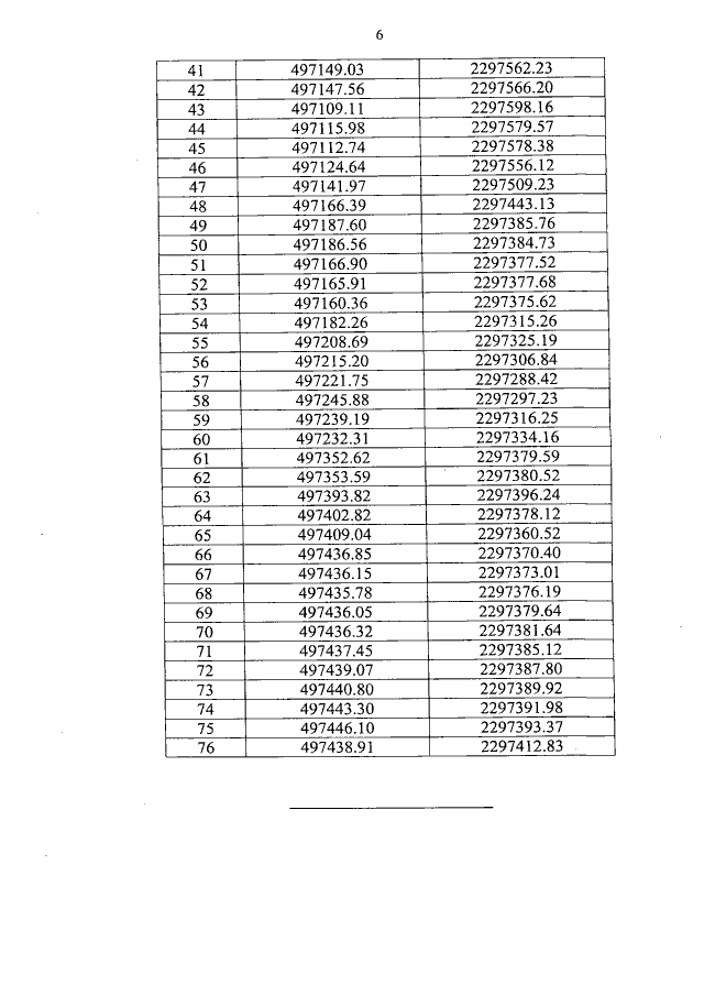
"Об утверждении зон охраны объекта культурного наследия регионального значения "Ансамбль зданий Бельгийского общества трамваев, 1887 г., 1908 г., (8 зданий), архитекторы Ю.Н. Терликов, М.Г. Зацепин", расположенного по адресу: Саратовская область, г. Саратов, ул. Б. Казачья, 110; ул. Астраханская, 122; ул. Московская, 153, 153а"
Номер опубликования: 6400201908080022
Дата опубликования: 08.08.2019
Страница №8 из 23:
Увеличить