Официальное опубликование правовых актов
ОФИЦИАЛЬНОЕ ОПУБЛИКОВАНИЕ
Постановление Губернатора Саратовской области от 21.01.2019 № 16
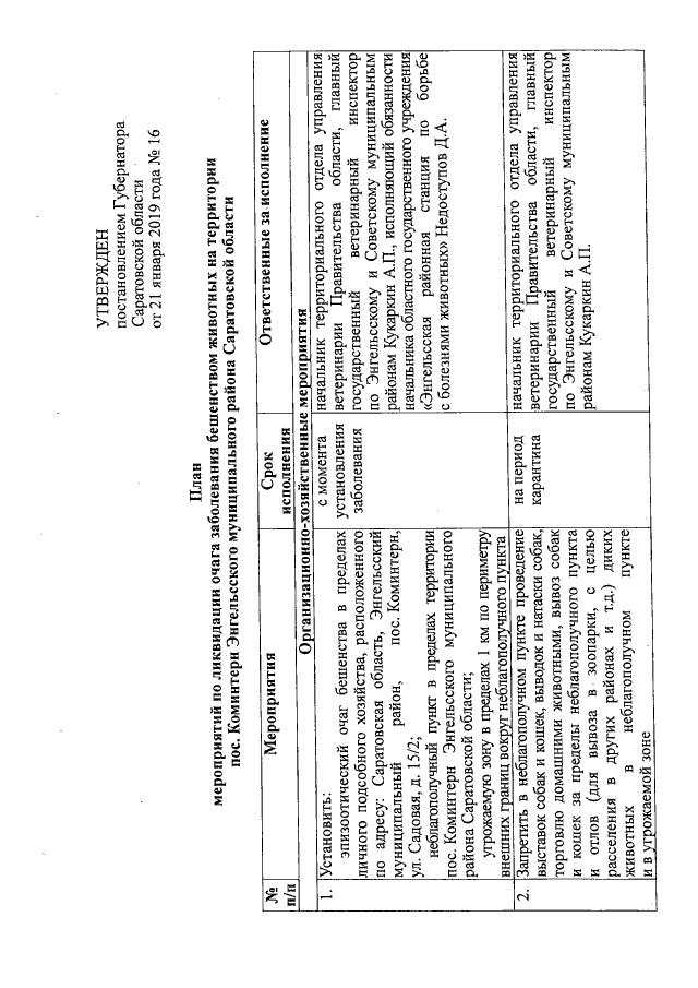
"Об установлении карантина по заболеванию бешенством животных на территории пос. Коминтерн Энгельсского муниципального района Саратовской области"
Номер опубликования: 6400201901230001
Дата опубликования: 23.01.2019
Страница №2 из 5:
Увеличить