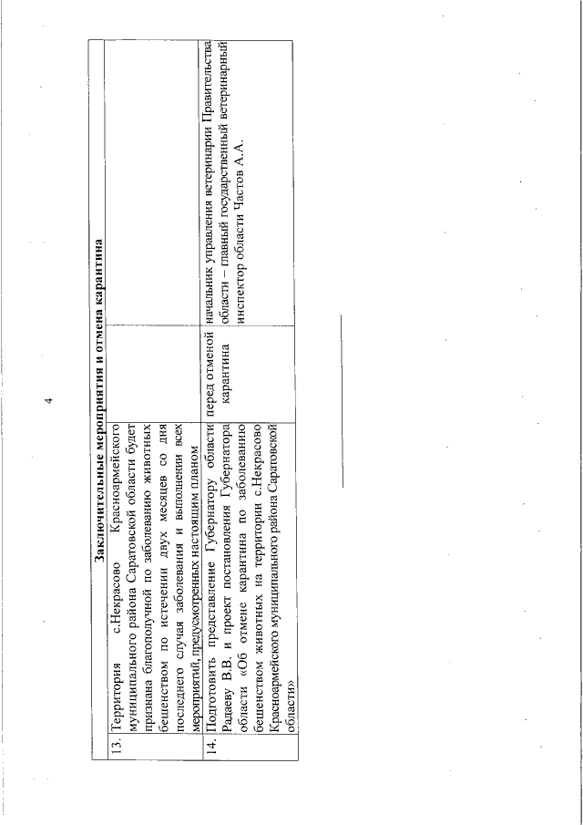
Постановление Губернатора Саратовской области от 22.08.2018 № 407
"Об установлении карантина по заболеванию бешенством животных на территории с.Некрасово Красноармейского муниципального района Саратовской области"
"Об установлении карантина по заболеванию бешенством животных на территории с.Некрасово Красноармейского муниципального района Саратовской области"
Номер опубликования: 6400201808270005
Дата опубликования:
27.08.2018
