Официальное опубликование правовых актов
ОФИЦИАЛЬНОЕ ОПУБЛИКОВАНИЕ
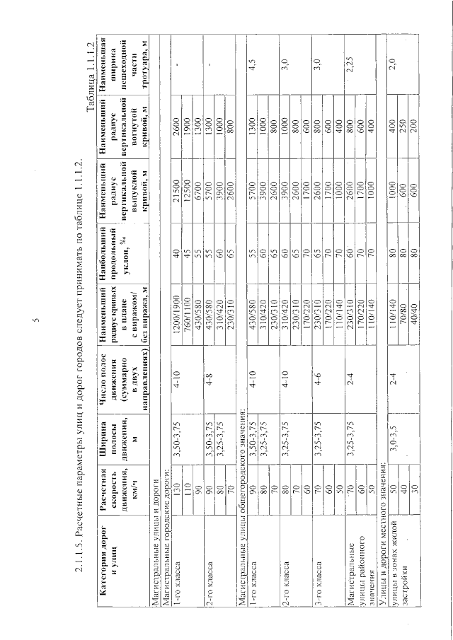
Постановление Правительства Саратовской области от 25.12.2017 № 679-П
"Об утверждении региональных нормативов градостроительного проектирования Саратовской области"
Номер опубликования: 6400201712270017
Дата опубликования: 27.12.2017
Страница №6 из 44:
Увеличить