Официальное опубликование правовых актов
ОФИЦИАЛЬНОЕ ОПУБЛИКОВАНИЕ
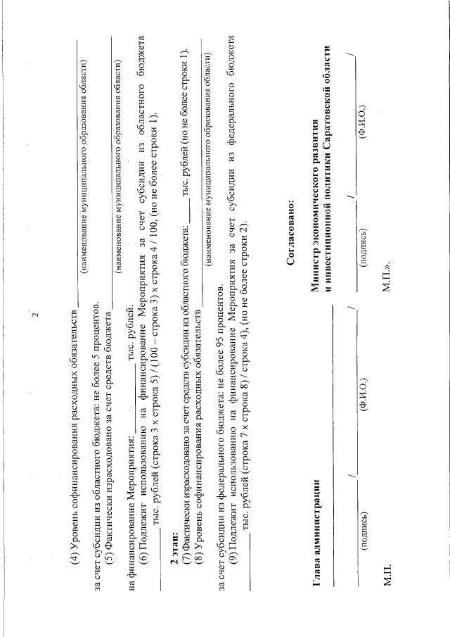
Постановление Правительства Саратовской области от 08.07.2016 № 360-П
"О внесении изменений в постановление Правительства Саратовской области от 29 октября 2012 года № 647-П"
Номер опубликования: 6400201607130002
Дата опубликования: 13.07.2016
Страница №4 из 4:
Увеличить