Официальное опубликование правовых актов
ОФИЦИАЛЬНОЕ ОПУБЛИКОВАНИЕ
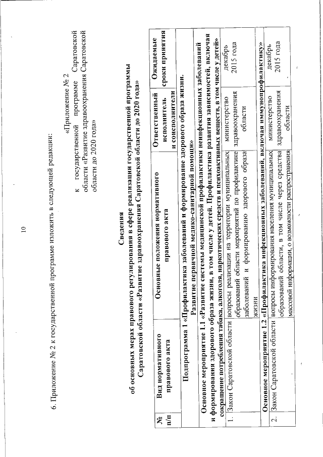
Постановление Правительства Саратовской области от 30.07.2015 № 384-П
"О внесении изменений в государственную программу Саратовской области "Развитие здравоохранения Саратовской области до 2020 года"
Номер опубликования: 6400201508030010
Дата опубликования: 03.08.2015
Страница №11 из 61:
Увеличить