Официальное опубликование правовых актов
ОФИЦИАЛЬНОЕ ОПУБЛИКОВАНИЕ
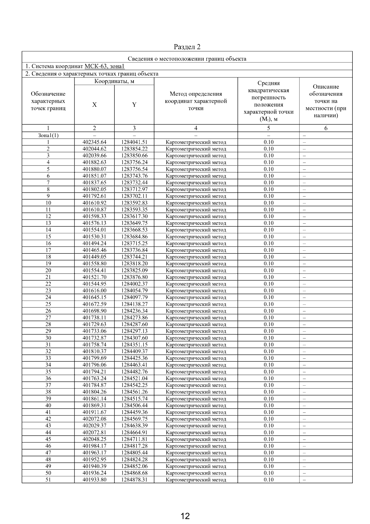
Приказ Министерства градостроительной политики Самарской области от 03.02.2026 № 65-п
"Об утверждении изменений в Правила землепользования и застройки сельского поселения Муранка муниципального района Шигонский Самарской области, утвержденные решением Собрания представителей сельского поселения Муранка муниципального района Шигонский Самарской области от 26.12.2013 № 32"
(Зарегистрирован 03.02.2026 № МГП-26-65)
Номер опубликования: 6301202602040009
Дата опубликования: 04.02.2026
Страница №98 из 251:
Увеличить