Официальное опубликование правовых актов
ОФИЦИАЛЬНОЕ ОПУБЛИКОВАНИЕ
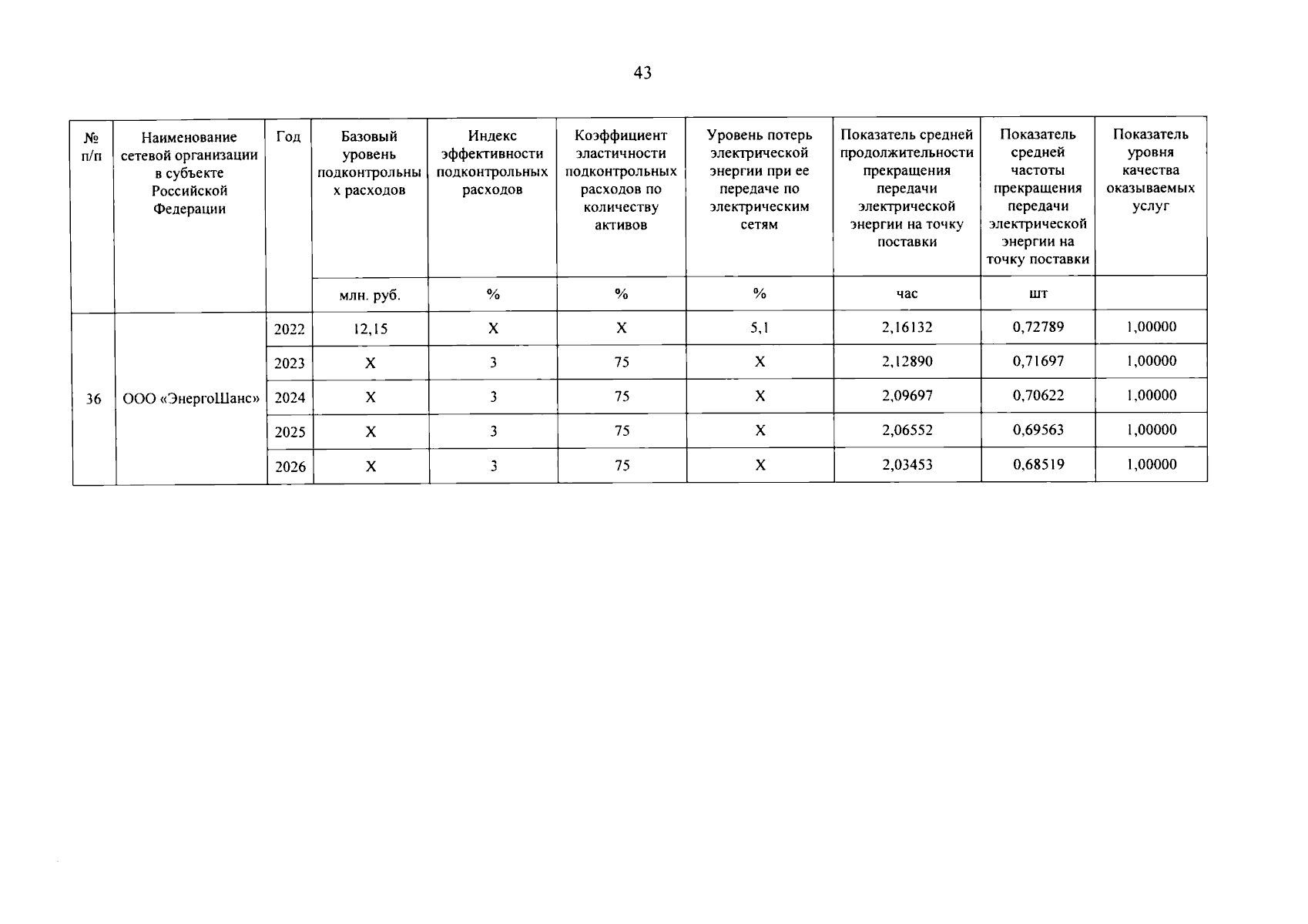
Приказ Комитета ценового и тарифного регулирования Самарской области от 24.12.2025 № 793
"О внесении изменений в приказ департамента ценового и тарифного регулирования Самарской области от 27.12.2019 № 871 "Об установлении долгосрочных параметров регулирования для территориальных сетевых организаций Самарской области, в отношении которых тарифы на услуги по передаче электрической энергии устанавливаются на основе долгосрочных параметров регулирования деятельности территориальных сетевых организаций"
(Зарегистрирован 24.12.2025 № КЦТ-25-793)
Номер опубликования: 6301202512250003
Дата опубликования: 25.12.2025
Страница №45 из 66:
Увеличить