Официальное опубликование правовых актов
ОФИЦИАЛЬНОЕ ОПУБЛИКОВАНИЕ
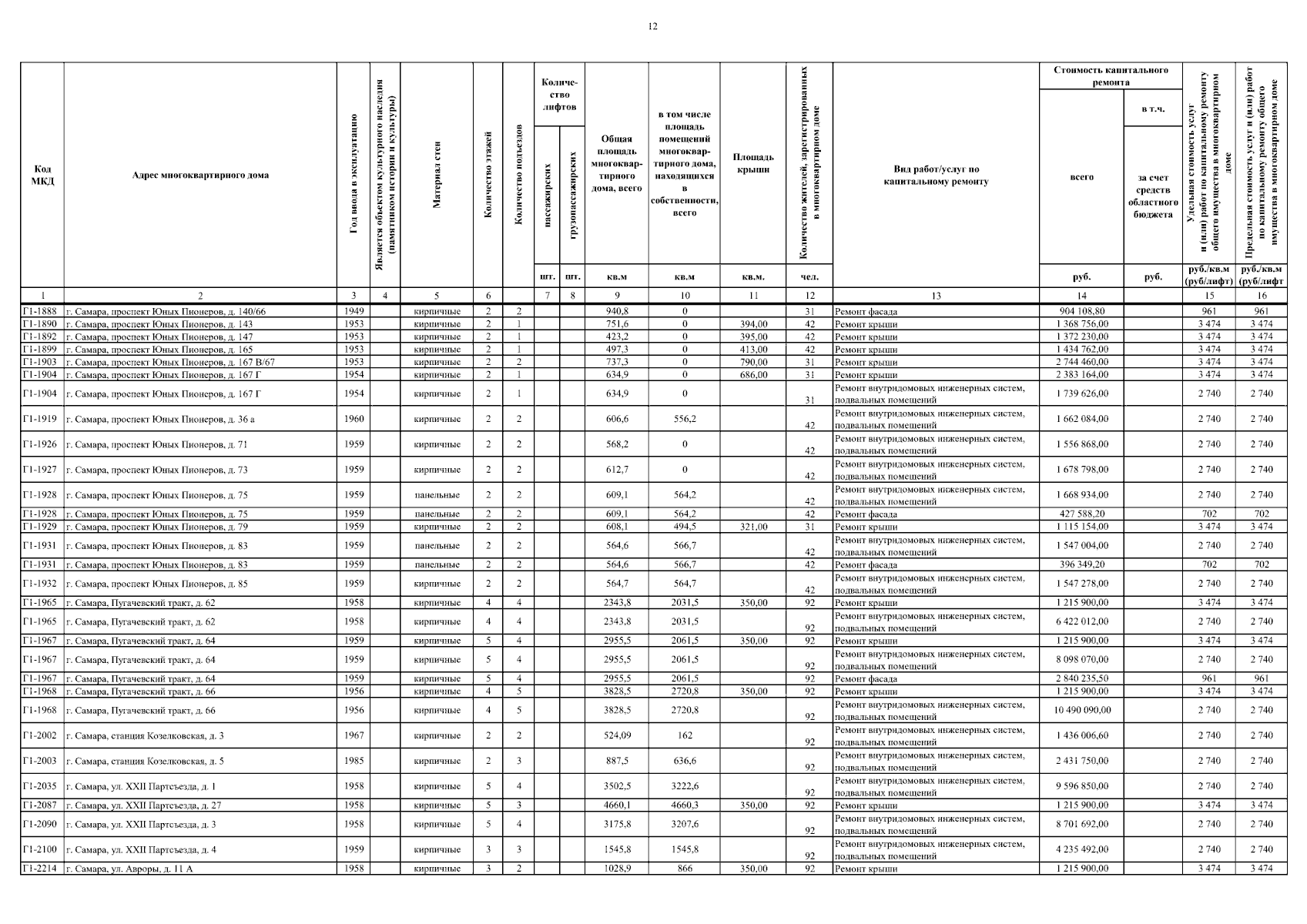
Приказ Министерства энергетики и жилищно-коммунального хозяйства Самарской области от 14.02.2025 № 38
"Об утверждении регионального краткосрочного плана реализации региональной программы капитального ремонта общего имущества в многоквартирных домах, расположенных на территории Самарской области, на 2025 – 2027 годы"
(Зарегистрирован 14.02.2025 № МЭЖКХ-25-38)
Номер опубликования: 6301202502140006
Дата опубликования: 14.02.2025
Страница №14 из 100:
Увеличить